首页 > 新闻中心 > 服务支持<

服务支持
变比不匹配对变压器运行造成的影响
时间:2019-10-10

运行规程规定,三绕组变压器并联运行的条件为:

a)并联运行变压器高、中、低压绕组的电压应分别相等,即相应的变压比应分别相等。

b)参加并联运行的每对绕组(高——低、高——中、中——低)的短路电压应分别对应相等。

c)接线组别应相同。

d)高,中、低压绕组对应容量比不应人于3。

上列四个条件中,前三个是基本条件,若四个条件都得到满足,则并联绕组形成的闭合回路中路便没有均衡电流,即不会产生附加损耗。由于电压调整等需要,实际上第一、二条不可能完全满足。本文以某供电公司变电站两台并列运行的三绕组变压器的实际运行数据为基础,分析当变比不匹配时的功率分布、变压器损耗等有关问题。中试控股变压器变比测试仪的生产厂家,我公司生产的变压器变比测试仪变压器变比组别测试仪可以运用于变压器厂家和铁路电气系统进行变压器变比、组别、极性、以及角度的测试。该变压器变比测试仪测试速度快,一组数据的测试时间仅为几秒钟,且变压器变比测试仪还具备自动切换相序、量程、校表、计算误差、切断电压、数据保存等功能,是应用于变压器变比测试的理想仪器。

一、原始实测数据

1.1原始数据

某供电公司变电站两台主变并联运行的主结线见图1。运行方式:Ⅰ#、II#主变220kV、110kv侧并列运行,10 kV侧分裂运行;Ⅰ#主变带10KVⅠ、Ⅱ段母线;Ⅱ#主变带10KVⅢ、Ⅳ段母线,(Ⅰ、Ⅳ段母线分别装有电容器)。

变比不匹配对变压器运行造成的影响

技术人员怀疑此运行方式下,并列变压器内有环流,因此1999年春检后,该供电公司生技科将分接头运行方式整定见表1。

变比不匹配对变压器运行造成的影响

整定后技术人员在运行中无法确定其是否在匹配运行状态,本文将通过计算提出一种判断方法。

1.2等值电路

由两主变有关参数,得Ⅰ#、Ⅱ#主变各绕组阻抗(折算至高压侧为):

变比不匹配对变压器运行造成的影响

在以下的计算中,因变压器励磁支路功率损耗对计算影响很小,故忽略励磁支路Rm、Xm,采用简化等值电路,如图2所示。

变比不匹配对变压器运行造成的影响

二、实际运行情况分析

实测数据如表2所示。

变比不匹配对变压器运行造成的影响

a)作两并联运行变压器等值电路网络及潮流分布(见图3)。

变比不匹配对变压器运行造成的影响

其中因要算此电磁环网中的均衡功率及可能的附加电势,且实测值均为注入各支路的实际功率,故不考虑第三绕组阻抗及负荷的影响,亦忽略变压器励磁支路功率损耗。

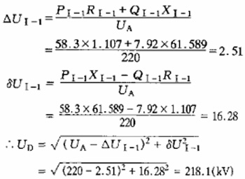
b)取2.19-2.29日的数据计算U0=UB-Uc,取UA=220KV
由计算变压器电压降落的公式有:
Z(I-1)上的电压降落

变比不匹配对变压器运行造成的影响

Z(I-2)上的电压降落

变比不匹配对变压器运行造成的影响

计算结果见表3。

变比不匹配对变压器运行造成的影响

由以上分析可见,当取2.19-2.29日的数据时,计算知B、C间有较大的电压差,证明此时的运行方式确实为变压器分接头不匹配时的运行方式。这种情况下,会在并联运行的变压器内部产生均衡功率和较大的均衡电流,可能会使其中一台变压器先满载。

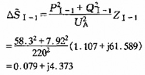
c)计算(n,n+1)方式时变压器中的功率损耗:
Z(I-1)上的功率损耗

变比不匹配对变压器运行造成的影响

Z(I-2)上的功率损耗

变比不匹配对变压器运行造成的影响

以上分析率单位为MVA,可看出,分接头匹配运行时变压器损耗不一定最小。

三、远动即时数据分析

a)表4是某日1:00-24:00整点负荷

变比不匹配对变压器运行造成的影响

从表4中可看出:

有功分配规律:P1和P2近似相等,无论低谷还是高峰,均各占50%比例

无功分配规律:当低谷和高峰无功口变化时,找不到确定的无功分配规律,而发现总无功越大时,Q1所占比例越大。不论低谷还是高峰.Q2比Q1-般高出10-11MVar左右,这是不可忽略的一点,从其它随机抽取的数据中也发现了这点。

分析△Q=Q2-Q1产生的原因:

初步认为是因为在当时的运行方式下,Ⅰ#、Ⅱ#主变内部实际变比不相等所至,即Ⅱ#主变的分接头比Ⅰ#主变高一档所致([n,n+1],表示Ⅰ#主变分头为n档时,Ⅱ#主变分头为n+1档)。

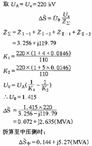
b) 设变压器分头为(4,5)时,求电磁环网中的均衡功率,参数折算至高压侧(220 kV)侧。

变比不匹配对变压器运行造成的影响

此均衡功率中无功含量很大,这是因为环网总阻抗中,两台变压器的潮流共相差,此计算值与实测值相吻合。

c)求此环网中的不平衡率

不平衡率μ是衡量并联变压器运行的一个重要指标,现场要求不平衡率μ<1%。

μ=(循环功率/输入功率)*100%

式中的输入功率可用负荷功率近似代替。

取表2中整点潮流分布数据[(2.19-2.29),(n,n+1)]S'中Ⅰ、S'中Ⅱ计算:

变比不匹配对变压器运行造成的影响

经分析可知:μ>1%,这进一步证明此种运行方式为不匹配运行方式

四、总结

a)同构从理论和实践两方面的分析可知,当并列运行的变压器变比不等时,变压器内部会形成均衡电流,增加了变压器的损耗,且易使变比小(二次侧开路电压高)的变压器先满载,使并联运行变压器总容量得不到充分利用,甚至使变比小的变压器形成不可容忍(不必要)的负荷。

b)并联运行的变压器变比不等时,无功含量较大。总的趋势是变比大的变压器所带无功比例较大,所以通过对并联运行变压器各侧无功的观察分析可侧面了解变压器的分接头匹配情况。

 

 

 

 

 

 

 

 

销售热线

  • 400-046-1993全国统一服务热线
  • 销售热线:027-83621138
  • 售后专线:027-83982728
  • 在线QQ咨询: 149650365      
  • 联系我们

 

增值服务

  • 三年质保,一年包换,三个月试用

 

 

 

 


 

版权所有:湖北中试高测电气控股有限公司 鄂TCP备12007755号