首页 > 新闻中心 > 服务支持<

服务支持
电流互感器变比误差怎么算
时间:2019-10-10

一、电流互感器变比误差产生的原理

从电流互感器工作原理可知,决定电流互感器变比的是一次线圈匝数与二次线圈匝数之比,影响电流互感器变比误差的主要原因有:

(1)电流的大小,比差和角差随二次电流减小而增大;
(2)二次负荷的大小,比差和角差随二次负荷减小而减小;
(3)二次负荷功率因数,随着二次负荷功率因数的增大,比差减小而角差增大;
(4)电源频率的影响;
(5)其它因素。

电流互感器内部参数也可能引起变比误差,如二次线圈内阻抗、铁心截面、铁心材料、二次线圈匝数等,这是由设计和制造决定的。电流互感器变比误差的测定可采用全自动互感器校验仪,互感器校验仪应用于PT电压互感器、CT电流互感器的误差及阻抗、导纳测试。中试控股生产的智能型互感器校验仪完全满足JJG314-1993和JJG314-1994要求,可自动采样。该智能型互感器校验仪自动判断极性错误,变比错误,是电力事业理想的检测设备。

二、分析励磁电流对互感器变比误差的影响

选用试验仪器正确、接线正确、二次负荷满足要求,在测定的时候仍然会出现不正常现象,比如误差远远超过标准误差限量值,反复测试,结果相差非常大,最后可能又符合标准要求,这种现象在实际工作中时有发生,为什么会出现类似的测试结果呢?分析原因,电流互感器是按电磁感应原理工作的,其一次线圈和二次线圈被同一交变磁通所交链,其工作的等值电路如图所示。

电流互感器变比误差怎么算

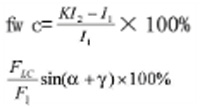
其中I1 、U1分别为一次侧电流、电压I2、U2分别为二次侧电流、电压ILC 、ULC 分别为电流互感器的励磁电流、一次和二次绕组感应所产生的电压电流互感器的误差(比差)fwc是由于励磁电流所造成的,其数学表达式为:

电流互感器变比误差怎么算

式中:F1为电流互感器的一次安匝;
FLC为电流互感器的励磁安匝;
α为U LC 超I 2 的相角;
γ为电流互感器铁损的损耗角角差以I 2 与I 1 之间的相角δ来表示的。

电流互感器变比误差怎么算

由电流互感器变比误差的数学表达式可见:比差和角差均与电流互感器的励磁安匝有关系,励磁电流是造成误差的主要原因。

从运行状态中退出运行的电流互感器,退出瞬时,电流互流感器中有电流通过,那么互感器中就产生剩磁,剩磁改变了铁芯的磁化曲线,使之由原来的线性变为非线性。其励磁安匝发生了很大改变,剩磁越大,磁通密度越大,铁芯越饱和,误差就越大。这种情况下所测得的变比误差可能远远大于国家规定的误差限量值。

为避免这种情况的发生,在电流互感器误差测定之前,首先应该对电流互感器铁芯进行退磁。退磁即是消除电流互感器的内部剩磁。

三、电流互感器退磁的试验方法

1、大负荷退磁是在被退磁电流互感器铁芯的二次线圈接以相当额定负荷的10 ~ 20倍的可变电阻负荷,对一次线圈通以工频电流,使电流值由零增加到1.2倍的额定一次电流,然后均匀缓慢地降回到零。重复这一过程2 ~ 3次,并且每次施加的电流应该递减。

2、强磁场退磁是将被退磁的电流互感器一次线圈开路,对二次线圈通以工频电流,使电流值由零增加到额定二次电流的1/5 ~ 1/2之间的某一值,然后缓慢而均匀地降回到零。重复这一过程2 ~ 3次,并且每次施加的电流应该递减。

退磁过程中应该注意的是:串级式电流互感器主铁芯退磁时,其余铁芯的二次线圈应该接成短路;具有多个二次线圈的电流互感器中的一个铁芯退磁时,其余铁芯的二次线圈接成短路;供退磁用的可变电流和可变电阻,在工作范围的任何一个位置下,不得出现接触不良现象。

经过退磁处理的电流互感器,在进行电流互感器变比误差测定的时候,还应注意的是:测定采用仪器为专用互感器校验仪;测试采用的导线为其所匹配的专用导线;二次负荷满足电流互感器额定负荷要求;按互感器校验仪说明书接线方式接线;以上均满足,检查无误后误差测试所测定的结果才是真实、有效的。

 

 

 

 

 

 

 

 

销售热线

  • 400-046-1993全国统一服务热线
  • 销售热线:027-83621138
  • 售后专线:027-83982728
  • 在线QQ咨询: 149650365      
  • 联系我们

 

增值服务

  • 三年质保,一年包换,三个月试用

 

 

 

 


 

版权所有:湖北中试高测电气控股有限公司 鄂TCP备12007755号