首页 > 新闻中心 > 服务支持<

服务支持
三相电流互感器变比
时间:2019-10-10

一般说是不允许在不同相上使用不同变比的电流互感器。但农村由于基础差,这种情况也可能存在。例一用电户的三相四线电能计量表所用的三相电流互感器变比分别为100/5、I50/5、200/5,在进行电费结算时不知该如何进行。对这种情况,不论采用其任何一相的电流互感器变比作为结算倍率,计算结果都是错误的,必须通过一定的分析计算求得其三相电流互感器的公共变比,以此作为结算倍率,电费结算才能得到正确的结果,为使对此类情况有更清楚的了解和对策,现就此问题谈点粗浅认识供参考。

1、三相四线电能表

(1)公共变比的推求

三相四线电能表是一种感应式三元件电能表,相当于3只单相电能表的组合。当用电负荷投入运行后,在任何计算时段T内三相电源向三相负荷分别输出:UA.IA.cosφA.TUB.IB.cosφB.T.Uc.Ic.cosφc.T的电能。电路为三相对称电路,所以三相电源输出的总有功电能:

W=3UP.IP.cosφ.T(kWh)

式中:UP-相电压,kV;IP一相电流,A;cosφ—荷功率因数值;T一负荷用电时间(即计算时段),h

若电能表所采用的三相电流互感器变比分别是:A相为FA、B相为FB、C相为FC,则二次侧各相电能:

三相电流互感器变比

即二次侧总电能:

三相电流互感器变比

则三相电流互感器的公共变比:

三相电流互感器变比

三相电流互感器变比

(2)计算实例

某用电户采用三相四线电能表计量电能,三相电流互感器变比:FA为100/5、FB为150/5、Fc为200/5,问当电能表的读数为1500kWh时,该用电户实际用电量为多少?

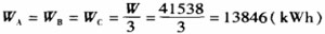
因电能表所用的电流互感器变比不一致,所以应先求出其公共变比Fk值。由式(1)可求得

三相电流互感器变比

则该用电户实际用电量:W=1500×27.692=41538( kWh)
为了证明以上计算结果的正确性,现验证如下:
因电路为三相对称电路,所以一次侧各相电能WA、WB、Wc相等,即有

三相电流互感器变比

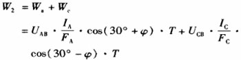
已知三相电流互感器变比分别为:100/5、150/5 、200/5,所以电能表二次侧三相电能Wa、Wb、Wc分别为:

三相电流互感器变比

即二次侧得电能总量:

W2=Wa+Wb+Wc=692.3+461.5+364.2=1500(KWh)

可见,前面对三相四线表电流互感器的公共变比推求计算结果是完全正确的。

2、三相三线电能表

(1)公共变比推求

三相三线有功电能表,为二元件电能表。当用电负荷投入运行后,在任何计算时段T内,三相电源将向三相负荷输送的电能W值为:

W=√3U.I.cosφ.T(KWh)
式中:U—线电压,kv;I—线电流,A

若电能表A、C相所采用的电流互感器变比分别为FA、Fc,则电能表二次侧电能

三相电流互感器变比

 

 

 

 

 

 

 

 

销售热线

  • 400-046-1993全国统一服务热线
  • 销售热线:027-83621138
  • 售后专线:027-83982728
  • 在线QQ咨询: 149650365      
  • 联系我们

 

增值服务

  • 三年质保,一年包换,三个月试用

 

 

 

 


 

版权所有:湖北中试高测电气控股有限公司 鄂TCP备12007755号