首页 > 新闻中心 > 服务支持<

服务支持
次级串联谐振感应电源加热研究
时间:2020-09-24

 感应加热电源具有污染小、效率高、加热快速、控制方便、生产安全等多方面的优点,在黑色金属热处理领域中被广泛应用。基于感应加热电源的以上优点,感应加热热处理工艺正在被引入到有色金属热处理工业生产中去,但是又由于有色金属通常磁导率低不易被感应加热,所以在电源的设计方面又会出现一些问题。

 本文着重以次级串联谐振感应加热电源为研究对象,通过初级串联谐振拓扑结构与次级串联谐振拓扑结构的对比分析,从理论上推导出在有色金属感应加热应用中次级串联谐振拓扑结构的优点所在,得出结论次级串联谐振拓扑结构更加适合应用于有色金属感应加热电源中。

感应加热基本原理

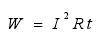
 感应加热原理是以焦耳定律和法拉第电磁感应定律为基础的。放置于时变磁场中的导体,在法拉第电磁感应定律作用下,导体内将产生感应电动势,导体自由电子开始做定向运动产生感应电流,具有电阻性的导体通过感应电流后会产生热能而使其自身发热,根据焦耳定律可得:

编辑


 式中

 W 为导体产生热量,单位焦耳(J);

 I 为导体流过有效电流强度,单位安培(A);

 R 为导体电阻值,单位欧姆(Ω);

 t 为电流流过导体时长,单位秒(s)。

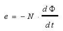
 根据法拉第电磁感应定律描述,当导体回路所包含截面区域内的磁通量发生变化,就会在导体闭合回路中产生感应电动势,进而产生感应电流,感应电动势可用公式表示为

编辑


 式中

 e 为导体闭合回路产生的感应电动势,单位伏特(V);   

 N 为导体绕组匝数,无单位量纲;

 ∮为导体闭合回路截面的磁通量,单位为韦伯(Wb);

 t 为时间,单位秒(s)。

编辑


 如图 1.1 所示,当感应加热电源设备的感应线圈中通过交变电流1i 时,在线圈内会产生交变磁场。而导体工件处于交变磁场中,可将工件看作为单匝线圈,根据法拉第电磁感应定律,在导体工件上会产生一个交变感应电动势,进而产生感应电流2i 。由于导体工件都具有一定的电阻性,因此又根据焦耳定律,工件将在感应电流作用下迅速产生热量并对其自身进行热处理。

 在感应加热工件截面上,所产生感应电流的密度并非均匀存在,当感应线圈通过交变电流时,在工件截面上产生的感应电流密度由外到内逐渐减小地非均匀分布,越往工件内部电流密度越小,这种电流的趋表现象被称为趋肤效应。

 感应加热技术的优点

 目前,感应加热技术已在金属表面热处理、熔炼、焊接等领域得到广泛应用,日益成为机械加工、冶金、国防等部门的重要能源形式,船舶、汽车、飞机等传统的制造业也在不断改造旧式设备,应用更加先进的感应加热设备。相对于传统加热工艺,感应加热技术之所以被广泛认可,主要表现为以下优点:

 一、加热效率高,节约能源,节省成本;

 二、产品加热温度容易控制,产品离散性小,质量可靠;

 三、安全性高,避免安全事故对操作工人严重的人身伤害;

 四、加热迅速,能够短时间内达到加热温度,减小金属氧化程度;

 五、自动控制容易实现,借助数字处理系统,实现智能操作;

 六、操作环境好,极少的烟、尘、噪声、热等;

 七、作业空间小,节约场地成本;

 八、可对形状复杂的工件进行热处理;

 感应加热技术发展状况及发展趋势

 感应加热技术的发展状况

 虽然早在 1831 年电磁感应原理就已经被伟大的科学家法拉第发现,但人类真正使用感应加热这一技术始于 20 世纪初期,并且在很长一段时间内,感应加热技术发展缓慢。经过近百年历史的发展,感应加热技术取得了长足进步。特别是上世纪 60年代以来,随着固态电力电子器件的发明与其制造工艺的发展,感应加热技术又有了飞跃性发展。90 年代开始,国内普遍开始采用IGBT 作为功率开关管研发超音频感应加热电源。高频感应加热电源的功率容量和工作频率已与国际先进水平相当,但是在设备的稳定性、制造工艺水平等方面仍有不小差距。目前,国内设备生产需要的 IGBT、MOSFET 和 SIT 等功率开关器件几乎全部依赖进口,这使国内生产 IGBT 超音频电源、高频电源成本大大增加,在一定程度上制约了我国感应加热技术的进步与提升。近年来,国际社会上越来越多的科研人员正在为感应加热技术的深度研究、感应加热应用领域的拓展付出着艰辛努力。

 感应加热技术由于其诸多优点,正在被越来越广泛地应用于现代化工业生产中,促进了生产力的巨大提升,因此国际社会都在越来越关注感应加热技术的发展,并且投入了大量的技术研究力量.

 

 

 

 

 

 

 

 

销售热线

  • 400-046-1993全国统一服务热线
  • 销售热线:027-83621138
  • 售后专线:027-83982728
  • 在线QQ咨询: 149650365      
  • 联系我们

 

增值服务

  • 三年质保,一年包换,三个月试用

 

 

 

 


 

版权所有:湖北中试高测电气控股有限公司 鄂TCP备12007755号