首页 > 新闻中心 > 服务支持<

服务支持
串联谐振试验系统装置工作原理分析
时间:2019-10-10

1、串联谐振系统介绍

串联谐振试验系统装置是利用在工作频率下电抗器的感抗和电缆电容的容抗产生谐振的原理来产生高电压的。典型的串联谐振试验系统的简化线路如图2a所示,可调自耦变压器T1为励磁变压器T2提供一个可变的工作电压,T2供给谐振回路功率,并将试品回路与电源回路隔开,电容器C代表试品电容及其它并联电容,例如电压分压器电容、套管电容等等。电感L代表可变电抗器,其电感量L调节至抵消电容C的容抗时,回路将达到谐振状态。

串联谐振试验系统装置工作原理分析

图2b所示的是串联谐振试验系统的等效电路,假定励磁变压器无损耗,它的漏感集中到电抗器L的电感内,系统的总损耗用串联电阻R表示,则可得

串联谐振试验系统装置工作原理分析

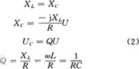
式中:Uc为电容电压;U为励磁变压器输出电压;XL为电抗器的感抗;Xc为系统容抗;R为系统总损耗。

在谐振状态下

串联谐振试验系统装置工作原理分析

式中:ω为电源角频率;Q为谐振回路的品质因素。

对于高质量电容性负载,典型系统的Q值在50-80之间。在谐振状态下,谐振回路中的电流I与励磁变压器电压U同相。因此输入功率为存有功率P,即cosφ=1,P=UIcosφ=UI。

在谐振状态下,电容负载C上的无功功率Wc为

Wc=UcI=QUI=QP            (3)

因此,馈电回路元件,如断路器、调压器、接触器等的额定容量降到了所需无功功率的1/Q,大大降低了对供电系统的要求。

2、串联谐振畸变

前面已经假定了在稳态条件下输入电压无畸变,电压增益函数,即Uc对U之比可以表示为

串联谐振试验系统装置工作原理分析

该函数可以简化成

串联谐振试验系统装置工作原理分析

式中:n为输入电源频率的谐波(n>l)。

所以,当串联谐振回路在输入电源频率下(n=1)调谐时,会产生产生很大的电压增益,减弱了输人电源频率各次谐波对系统的影响。这种串联谐振回路典型的谐波畸变水平总低于0.5%。

3、串联谐振试验系统的暂态计算

一个串联谐振回路,由闪络产生的电弧熄灭所引起的输出电压的恢复速率是很慢的,该恢复电压可用下式表示

串联谐振试验系统装置工作原理分析

在公式(5)中,时间t是从电弧熄灭瞬间算起,指数ωt/2Q可以用闪络后的周波数N这一变量改写成

ωt/2Q=Nπ/Q          (6)

当Nπ/Q≈3或者当N≈Q时,式(5)给出的电压Uc(t)将恢复到原值的96%,因此,经一次闪络后大约需Q个周波,电源才能将负载电容充电到全电压,通常,试验装置的过载保护在远未达到这个数值之前便已动作了。

4、串联谐振试验系统的调谐

通过调节电抗器铁芯气隙,使电抗器的电感量连续地从铁芯完全闭合时的最大值改变到铁芯完全打开时的最小值(通常,电抗器能在4%至90%的铁芯气隙范围内进行调谐),当电抗器感抗与回路容抗相等时,系统达到谐振。此时

ωL=1/ωC

式中:L为电抗器电感;C为负载电容;ω为角频率(ω=2πf,f为输入电源频率)。

以上是对串联谐振试验系统装置工作原理的简单分析,中试控股串联谐振试验装置的生产厂家,我公司生产的串联谐振试验装置荣获多项国家技术专利,经各省级计量技术研究院等机构认证。可按客户要求特殊定制10KV、35KV、110KV、220KV、500KV电压等级的串联谐振试验装置。串联谐振试验装置适用于大容量,高电压的电容性试品的交接和预防性试验,串联谐振试验系统人机交互界面友好。

 

 

 

 

 

 

 

 

销售热线

  • 400-046-1993全国统一服务热线
  • 销售热线:027-83621138
  • 售后专线:027-83982728
  • 在线QQ咨询: 149650365      
  • 联系我们

 

增值服务

  • 三年质保,一年包换,三个月试用

 

 

 

 


 

版权所有:湖北中试高测电气控股有限公司 鄂TCP备12007755号